水垢的危害很大,不僅浪費燃料,還嚴重影響鍋爐的安全運行,由于水垢產生的機理不同,不同水質,不同類型的鍋爐防止鍋爐結垢的方法也不一樣,熱水鍋爐的防垢與蒸汽鍋爐防垢不完今相同。在停爐期間,鍋爐及其系統的保養不當,整個鍋爐采暖系統腐蝕較嚴重,雖然給水硬度控制在0.03mmol/l以下(GB1576熱水鍋爐給水標準0.6mmol/l),爐水的pH值控制在9到11之間,水垢結生速度仍很快,常出現水冷壁管過燒和爆管現象,對鍋爐安全運行帶來威脅。因此在控制好給水水質的基礎上,加強控制好熱水循環系統內的水質質量,確保鍋爐的安全運行是當務之急。
1、分析原因
自2007年起,我們多次對爆管的水冷壁進行割管取樣,對水垢的成分分析,水垢的主要成分是鐵的化合物和水中的溶解圓形物濃縮而成,與蒸汽鍋爐形成的水垢相比,鈣鎂離子形成的水垢相對較少。鐵的化合物的主要來源是系統和鍋爐的腐蝕產物,鍋爐水中的鐵的化合物沉積在管壁上,形成氧化鐵垢。鍋爐水中鐵化合物的形態主要是膠態氧化鐵,也有少量較大顆粒的氧化鐵和呈溶解狀態的氧化鐵。在鍋爐水中,膠態的氧化鐵帶正電荷。當爐管上局部地區的熱負荷較高時,該部位的金屬表面與其他部分的金屬表面之間會產生電位差。熱負荷高的區域,金屬表面因電子集中而帶負電荷。這樣帶正電荷的氧化鐵微粒就向帶負電的金屬表面聚集,就形成了氧化鐵垢。對于顆粒較大的氧化鐵,在鍋水急劇蒸發濃縮過程中,在水中電解質含量較大,和pH值較高的條件下,它逐漸從水中析出并沉積在爐管管壁上成為氧化鐵垢。氧化鐵垢的防止方法:一減少鍋爐水中的含鐵量,二往鍋爐水中加絡合劑,以減緩或防止氧化鐵垢的生成。



2、加藥機理的探討
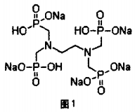
在水處理中,用加藥劑達到阻垢的目的有兩種方法:溶解法和沉淀法。溶解法即增加水中結垢離子的溶解度,使之不易析出或減少析出。水垢的豐要成分鐵的化合物,想阻止它被吸附到鍋爐上,只有采用溶解法來控制,盡可能地減少鍋爐水中的鐵離子與鍋爐管壁接觸的機會。根據防垢機理和藥品試劑的結構特性,采用六偏磷酸鈉和乙二胺四甲叉膦酸五鈉處理熱水鍋爐系統中的鐵離子是較為理想的。根據六偏磷酸鈉的結構式如圖1,乙二胺四甲叉膦酸五鈉結構式如圖2可看出,它們都是較好的金屬離子螫合劑,同時EDTMP.Na.是含氮的多元膦酸鹽,屬于陰極性的緩蝕劑,在水溶液中能離解成8個正負離子,可以與多個金屬離予螯合,形成多個單體結構大分子網狀絡合物,松散地分散于水中,使金屬離子正常的結晶被破壞,阻垢同時對金屬的腐蝕有抑制作用。
3、實驗室試驗情況
為了更準確的指導生產,試驗用水采用離子交換水,硬度小于0.03mmol/l,同時模擬熱水鍋爐系統的水質,加入Fe2O3粉末,使Fei+的濃度接近0.8mg/l.試驗條件:用鍋爐的管壁加工成20×30 x5(單位mm)的掛片,用砂紙拋光,水溫控制在85~95℃之間,常壓下進行的小型自然循環熱水采暖系統,持續時間150h.用純堿調節系統的pH值,如表1。
從試驗情況來看,在熱水采暖系統中,EDTMP.Na;和(NaP03).組成的防垢劑,用純堿調節pH值,效果較為理想,如果能控制好系統的pH值不小于10,在給水質量合格的條件下,EDTMP.Na.、(NaP03)6系列,能從根本上解決熱水鍋爐結垢。
4、生產鍋爐試驗情況
幾個熱力站的給水指標,以蒸汽鍋爐的給水標準來控制,硬度小于0.03mmol/l,爐水指標符合GB1576的標準,2008年前,熱水鍋爐系統內采用投加Na,PO。、Na,C03和腐殖酸鈉來消除殘余硬度和提高爐水的pH值,但每個采暖期都會出現鍋爐爆管的現象,嚴重影響了生產,造成供暖效果的負面影響和經濟損失。從2009年開始,我們采用EDTMP.Na;,(NaP03)6消除系統水的殘余硬度,用純堿控制系統水的pH值=10,整個采暖期沒出現鍋爐爆管現象,停爐后發現鍋爐內部沒有結垢。
5、結語
EDTMP.Na;,(NaPO
3)
6應用到熱水鍋爐系統中,能從根本上解決熱水鍋爐結垢問題。它們的防垢效果與爐水的pH值有關,當爐水的pH值達到10時,防垢效果最佳。
三門峽富通新能源銷售生物質鍋爐同時我們也銷售木屑顆粒機生產的生物質顆粒燃料。