1、引言
水稻收獲機的脫粒裝置根據作物沿脫粒滾筒的流向可分為切流式和軸流式兩種。一直以來,我國主要糧食作物的機械化收獲一直依靠傳統的切流脫粒裝置來進行。但用傳統切流型脫粒裝置來脫麥類較為適合,而對其它谷物就不太適合。而軸流脫粒裝置具有大喂入量的特點,工作時,谷物流作螺旋運動,脫粒柔和且時間長,所以脫粒和分離比較充分,因而在脫凈率、破碎率、分離率等項指標方面都優于切流裝置,因此,對軸流脫粒與分離裝置和配套清選裝置進行深入研究十分必要。
水稻收獲機械的清選裝置直接影響清選的質量(清潔率和、損失率),它直接影響到整機的工作性能,從國家標準的制定來看:清選的損失率及含雜率為國家強制性標準,根據國家行業標準jB/T 5117-2006要求:清選損失率≤0.5%,含雜率≤2.0%,因此,盡快提高聯合收割機的清選質量,將是解決我國水稻生產進一步發展的瓶頸問題。常用的清選方式有振動篩清選、圓筒篩清選、圓錐篩清選、風力清選和風篩式清選等。由于風篩式清選的適應性和效果較好,在聯合收割機上被廣泛采用,其主要部件有風機和振動篩網。在風篩式清選裝置中又有單風道風機單層振動篩,單風道風機雙層振動篩,雙風道風機雙層振動篩和雙風機雙層振動篩結構。實踐證明,風篩式清選裝置工作性能比較穩定,對作物適應性強,因而風篩式清選裝置的改進和優化設計,對進一步提高我國水稻機械化的收獲水平具有重大意義。
2、清選裝置試驗臺的總體結構
該試驗臺由進料模擬裝置、機架、離心風機及調整機構、貫流風機及調整機構、振動篩架、篩片、階狀抖動板、傳動機構、接料箱、風速傳感器、綜合操作柜、數據采集系統、扭距傳感變送器、電機等組成。使其結構和工作參數可調:可通過調整振動篩曲柄半徑、曲柄轉速、風機出風口傾角、風機轉速、風機的位置、振動篩傾角、階狀抖動板的長度以及更換不同類型的篩片等來滿足軸流清選裝置試驗要求。試驗臺配有計算機數據采集系統,系統工作可靠、測試精度高。該試驗臺結構簡單,操作及調整方便。試驗臺結構,如圖1所示。

3、工作原理
工作時,將脫出物裝入給料模擬裝置,被清選的脫出物首先在排料輥的控制下,與篩面同寬度、同長度非均勻分布落下,改變了傳統清選的落料方式,物料直接落向篩面而不必集中在抖動板后再清選,這樣減輕了抖動板的作業負擔,避免了物料過于集中而導致清選效果差的問題,提高了清選性能,尤其在大喂入量的情況下體現得更明顯,滿足了當前對機器大喂入量的要求。落向篩面的物料再利用種子與夾雜物的幾何尺寸和懸浮速度差異進行清選和風選。通過風機吹走部分輕雜質如灰塵、糠秕等,再流人階狀抖動板和篩體內,階狀抖動板和篩體在偏心軸驅動下縱向擺動,在篩片往復運動下達到分離的目的。
4、試驗裝置、材料和方法
4.1試驗裝置及相關儀器設備
試驗采用自行研制的縱軸流風篩式清選裝置試驗臺,如圖1所示。試驗過程中各部件的運動參數由電控柜上的旋鈕進行調整,清選時間、轉速、扭矩等可用計算機采集。試驗中所用的相關儀器、工具有:電子天平、角度測量儀、卡尺、鋼直尺、扳手、塑料布、塑料袋、簸箕、篩子等。
4.2試驗材料
試驗在2008年12月開始,試驗用水稻在某市的農戶家中購買,水稻經縱軸流脫粒與分離裝置脫粒后得到清選用物料。水稻的物理特性如下:品種:松津9號;谷草比:1:1.22;千粒重:22.341克;籽粒水分:14.03%;莖稈水分:28.15%脫粒后得到清選用物料成分:籽粒、碎莖稈、斷穗、穎糠等;清選試驗喂人量為2kg/s。
4.3試驗方法
先用縱置式軸流脫粒與分離試驗臺將水稻脫粒,得到脫出物(籽粒、碎莖稈、穎糠等),將脫出物裝入給料模擬裝置,啟動清選試驗臺,物料由給料裝置按照縱置軸流實際落料情況撒落到階狀抖動板和清選篩上,落到清選篩上的物料直接清選,落到階狀抖動板上的由階狀抖動板均勻地抖動到清選篩上進行風選和篩選,篩選后的谷物(含微量雜質)落到接料箱里,碎莖稈、穎糠等落人排雜箱,最后對接料箱和排雜箱的內容物進行處理得到試驗數據,并對數據進行分析。采用正交旋轉組合設計的試驗方法,以離心風機轉速、離心風機出口傾角、曲柄轉速為試驗因素,以清潔率、損失率、功耗作為性能指標。按三因素五水平安排試驗,因素水平編碼,如表1所示。
5、結果與分析
5.1試驗結果
通過試驗,得到的性能指標,如表2所示。

5.2性能指標的優化

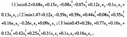
通過對清選性能指標的回歸方程進行優化計算,可以獲得最佳的清選參數組合方案,并得到清選參數對清選性能的影響。清選裝置要求具有良好的綜合清選性能,因此要獲得最佳的清選參數組合方案,就必須采用多指標優化的方法。根據清選裝置清選性能要求的特點,采用主目標函數法,利用MATIAB進行優化求解。得到優化參數,如表3所示。以功耗、含雜率、損失率作為目標函數,分別得到優化模型如下:

從表3可以看出,不同性能指標作為目標函數時的最佳參數組合方案中,曲柄轉速都接近0水平左右,即在235r/min左右,離心風機轉速都在-0.3水平左右,即接近764r/min,風機傾角都接近0水平,即接近28°。

6、驗證試驗
為了驗證優化參數的正確性,作了驗證試驗,試驗仍在原試驗臺上進行,取曲柄轉速為235r/min,離心風機轉速為764r/min,風機傾角為280,所得到的性能指標,如表4所示。
通過試驗證明,由最佳參數組合方案所作的驗證試驗,得到的性能指標接近理論值,所得到的各個性能指標都能滿足要求。

7、結論
通過三因素五水平的正交旋轉組合試驗,以曲柄轉速、離心風機轉速、離心風機傾角為因素,功耗、含雜率、損失率為性能指標,建立了各性能指標與因素的回歸方程,采用主目標函數法,利用各性能指標的回歸方程,用MATLAB進行優化求解,綜合評定后得到優化參數為:曲柄轉速235r/min,離心風機轉速764r/min,離心風機傾角28°,通過驗證試驗所得到的性能指標均滿足技術要求。